近日,SEX8 潘毅教授以第一作者在海岸工程领域权威期刊《Coastal Engineering》上发表了关于规则波作用下低能沙质海岸人工水下沙坝演变试验研究成果,论文题为“An experimental study on the evolution of a submerged berm under the effects of regular waves in low-energy conditions”。论文合作者包括尹硕,陈永平,杨玉宝,许春阳和徐振山。
低能沙质海岸广泛存在于我国的黄、渤海沿岸,受宽阔的大陆架和外海岛屿掩蔽,动力环境弱,水沙动力有其独特特征。该论文聚焦低能沙质海岸中的人工水下沙坝演变特征,开展了多组次的波浪动床模型试验研究,解决了轻质模型砂的比尺推算难题;使用经验正交函数分析方法对试验数据进行分析处理,揭示了规则波作用下低能沙质海岸中人工水下沙坝的主要演变模式,探讨了波浪非线性参数等对主要演变模式的影响。相关研究成果为近岸补沙工程提供了重要的理论基础和技术支撑。

图1 人工水下沙坝施工船只

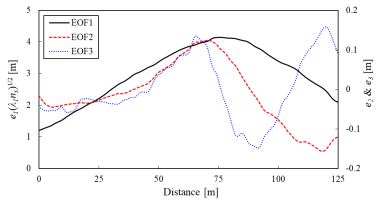
图2 人工水下沙坝剖面主要演变模式

图3 动力条件对人工水下沙坝演变模式的影响
文章地址://www.sciencedirect.com/science/article/pii/S0378383922000849

